Alabama Gov. Kay Ivey’s $18.56 billion budget proposal for fiscal 2024 is only $25.6 million less than the total requested by state agencies.
The second-term Republican governor’s proposal is a 5.86% increase from fiscal year 2023, when the state’s appropriations added up to $17.5 billion.

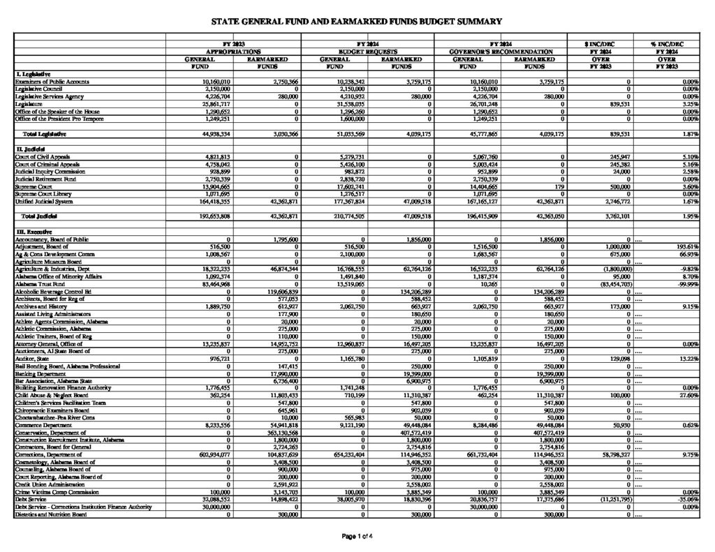
Ivey also wants increases in the state’s education spending, with $349.9 million in additional K-12 outlays (6.22% increase over 2023) and $135.9 million for higher education, growth of 6.42%.

“Alabama, especially considering the state of the nation’s economy, is on sound footing,” Ivey said in a news release. “Our budgets are strong, and that is, no doubt, because of the fiscally conservative approach we have taken and continue to take. Just as every Alabama family budgets to invest, pay their debts and increase their savings, my budget proposals do just that for our state.
“From returning our taxpayers’ hard-earned dollars back to them to making historic investments in our students’ education, these budgets will help foster a strong Alabama today and a stronger Alabama tomorrow.”
Among the biggest cuts in Ivey’s budget proposal include:
- The state will spend 35% less on debt service than the year before, a cut of $11.25 million.
- A $3.5 million cut to the Peace Officers’ Standards and Training Commission.
- A reduction of $1.8 million for the Department of Agriculture & Industries.
In addition to education, the biggest increases include:
- The state Medicaid Agency would receive an 8.75% increase of $69.47 million over 2023 appropriations.
- An increase of $58.8 million (9.75%) for the state Department of Corrections.
- An additional $34 million for the Department of Public Health (a 44.77% increase over fiscal 2023).
- State law enforcement agencies would receive an additional $29.6 million or 35.84% more than the year before).
- A 5.67% increase ($10.99 million) for the state Department of Mental Health.
- The Board of Pardons and Paroles would receive an additional $4.98 million (6% increase).
- The state judiciary would receive an additional $3.76 million (an increase of 1.95% over 2023).
- State employees would receive a $14.5 million cost of living adjustment.
Republished with the permission of The Center Square.
Related
Share via:











